Borang Permohonan Kemudahan Perlindungan Insurans Kesihatan ke Luar Negara Panduan Pengisian

Game News Maniacontact fiverr/MuhammudAbuOntricky
Please wait 0 seconds...
Scroll Down and click on Go to Link for destination
Congrats! Link is Generated
Borang Permohonan Kemudahan Perlindungan Insurans Kesihatan ke Luar Negara Panduan Pengisian

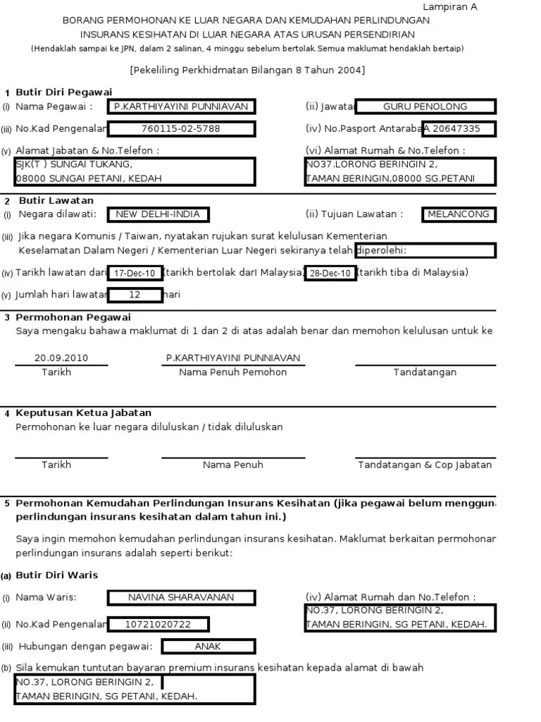
5 permohonan kemudahan perlindungan insurans kesihatan jika pegawai belum menggunakan kemudahan perlindungan insurans kesihatan dalam tahun ini b sila kemukakan tuntutan bayaran premium insurans kesihatan kepada alamat di bawah i nama waris ii no kad pengenalan a butir diri waris iv alamat rumah dan no telefon

Pp bil 06 2015 kemudahan perlindungan insurans kesihatan kepada pegawai perkhidmatan awam yang berada di luar negara atas urusan persendirian portal ppspp

BorangPengisian title=Borang Permohonan Ke Luar Negara Dan Kemudahan Perlindungan style=width:100%;text-align:center; onerror=this.onerror=null;this.src='https://encrypted-tbn0.gstatic.com/images?q=tbn:ANd9GcSglUTuWvm8wvg2AKOlx54b2A618u1fbrAoG07Gfrz1ko_MwHt76ARncJiiC9Qmp3F_20k&usqp=CAU'; />

Apakah syarat bagi kemudahan skim perlindungan insuran kesihatan ke luar negara atas urusan persendirian tuntutan bayaran balik kemudahan insurans kesihatan ke luar negara hendaklah disertakan dengan dokumen sokongan resit sebagai bukti pembelian terhad kepada diri pegawai sahaja

Borang Permohonan Lawatan Ke Luar Negara (persendirian)

Permohonan perbelanjaan bagi kemudahan perlindungan insurans kesihatan kepada pegawai perkhidmatan awam yang berada di luar negara atas urusan persendirian surat pekeliling perkhidmatan sppbil 1 2017

Permohonan ke luar negara b diluluskan tidak diluluskan 5 permohonan kemudahan perlindungan insuran b kesihatan jika pegawai belum menggunakan kemudahan b perlindungan ins b uran kesihatan dalam tahun ini saya ingin memohon kemudahan perlindungan b insurans kesihatan maklumat berkaita b n permohonan kemudahan

Butir diri waris i nama waris ii no kad pengenalan iii hubungan dengan pegawai iv alamat rumah v no telefon vi e mel 12 sila kemukakan tuntutan bayaran premium insurans kesihatan kepada alamat di bawah 2 lampiran a pp 6 2015 borang permohonan perlindungan insurans kesihatan ke luar negara negara ketiga bahagian v

Kebenaran Ke Luar Negara

Lampiran 1 permohonan perjalanan pegawai awam ke luar negara atas urusan persendirian lampiran 2 borang pengisytiharan perjalanan pegawai awam ke luar negara atas urusan persendirian lampiran a borang permohonan ke luar negara dan kemudahan perlindungan insurans kesihatan di luar negara atas urusan persendirian

Kemudahan perlindungan insurans kesihatan kepada pegawai perkhidmatan awam yang berada di luar negara atas urusan persendirian download surat edaran jpa s 187 20 jld 16 41

14 permohonan ke luar negara negara ketiga bagi pegawai adalah diluluskan tidak diluluskan saya dengan ini megesahkan bahawa permohonan kemudahan perlindungan insuarns kesihatan ke luar negara negara ketiga atas urusan persendirian pegawai mematuhi tidak mematuhi peraturan sebagaimana ditetapkan dalam pekeliling perkhidmatan bilangan 6

Keluar Negara Atas Urusan Persendirian Tanpa Kebenaran Adalah Satu Kesalahan

24 saya dengan ini mengesahkan bahawa permohonan tuntutan bayaran balik reimbursement premium perlindungan insurans perjalanan kepada pegawai ke luar negara negara ketiga atas urusan persendirian adalah mematuhi tidak mematuhi peraturan sebagaimana ditetapkan dalam ceraian sr 2 4 1 tandatangan tarikh

Borang

Borang permohonan perlindungan insurans kesihatan ke luar negara negara ketiga borang permohonan kemudahan perlindungan insurans kesihatan ke luar negara negara ketiga atas urusan persendirian di bawah pekeliling perkhidmatan bilangan 6 tahun 2015 arahan maklumat hendaklah dilengkapkan dengan jelas dan menggunakan huruf besar

Kemudahan perlindungan insurans kesihatan kepada pegawai perkhidmatan awam yang berada di luar negara atas urusan persendirian ceraian sr 2 4 1 1 secara tuntutan bayaran balik melalui resit 2 terhad kepada kadar premium mengikut negara dilawati 3 pegawai yang membuat tuntutan bayaran balik dianggap telah menggunakan kemudahan ini bagi tahun

Lawatan Luar Negara

Borang permohonan perlindungan insurans kesihatan ke luar negara negara ketiga borang permohonan kemudahan perlindungan nsurans kesihatÅn ke luar negarajnegara ketiga atas urusan persendirian di bawah pekeliling perkhidmatan bilangan 6 tahun 2015 arahan maklumat hendaklah dilengkapkan dengan jelas dan menggunakan huruf besar

Saya ingin memohon kemudahan perlindungan insurans kesihatan b maklumat berkaitan permohonan kemudahan perlindungan b insurans adalah seperti berikut a butir diri waris i nama waris iv alamat rumah dan no telefon ii no kad pengenalan iii hubungan dengan pegawai b sila kemukakan tuntutan bayaran premium insurans b kesihatan

Borang

Borang permohonan perlindungan insurans kesihatan ke luar negara negara ketiga borang permohonan kemudahan perlindungan insurans kesihatan ke luar negara negara ketiga atas urusan persendirian di bawah pekeliling perkhidmatan bilangan 6 tahun 2015 arahan maklumat hendaklah dilengkapkan dengan jelas dan menggunakan huruf besar

Borang An Ke Luar Negara Blank

Borang permohonan perlindungan insurans kesihatan ke luar negara negara ketiga bahagianiv pengesahan pegawai saya dengan ini mengesahkan bahawa maklumat sebagaimana yang dinyatakan di bahagian i il 13 dan ill adalah benar dan memohon kelulusan kemudahan perlindungan insurans kesihatan ke luar negara negara ketiga atas urusan persendirian mulai

Senarai lawatan persendirian ke luar negara senarai kemudahan perlindungan insurans kesihatan ke luar negara negara ketiga atas urusan persendirian senarai perubahan tarikh negara atau pembatalan permohonan polisi perlindunga ninsurans kesihatan kepada pegawai perkhidmatan yang berada di luar negara negara ketiga atas urusan persendirian

Borang permohonan kemudahan perlindungan insurans kesihatan atas urusan persendirian rasmi dalam luar negara arahan maklumat hendaklah dilengkapkan dengan jelas dan menggunakan huruf besar 1 nama staf 2 jawatan gred hakiki 3 no kad pengenalan 4 no pasport antarabangsa 5 alamat jabatan dan no telefon

Borang

Permohonan Perjalanan Keluar Negara Dan Insuran

Faedah penjagaan kesihatan berkualiti akan memberi lebih tumpuan kepada saringan kesihatan aktiviti pencegahan serta pendidikan dan promosi kesihatan terutamanya bagi penyakit tidak panduan permohonan kemasukan mrsm 2017 tingkatan 1 online

12 sila kemukakan tuntutan bayaran premium insurans kesihatan kepada alamat di bawah pt249 lot2388 kampung pulau melaka 16150 kota baru kelantan 09 7653949 borang permohonan perlindungan insuran kesihatan ke luar negara negara ketiga pp 6 2015 unit perkhidmatan jpnj muka surat 1 2 1 januari 2017

1 9 insurans kesihatan di luar negara awda dinasihatkan untuk membuat perlindungan kesihatan di negara tempat berkursus dan bayaran kos insuran adalah atas tanggungan sendiri 1 10 penginapan di luar negeri semua perbelanjaan penginapan setelah bertolak dari negara brunei darussalam dan sebelum ke tempat pengajian adalah atas

Borang Kemudahan Perlindungan Insurans Kesihatan Di Luar Negara Atas Urusan Persendirian

Faedah penjagaan kesihatan berkualiti akan memberi lebih tumpuan kepada saringan kesihatan aktiviti pencegahan serta pendidikan dan promosi kesihatan terutamanya bagi penyakit tidak panduan permohonan kemasukan mrsm 2017 tingkatan 1 online

PDF)

Panduan kini kemudahan perlindungan insurans kesihatan di luar negara skim peduli sihat nasional mula januari 2019 seluruh negara by admin posted on oktober 14 2018 september 16 2022

Pp 6 2015borang permohonan perlindungan insurans kesihatan b ke luar negara b negara b ketiga borang permohonan kemudahan b perlindungan in s urans kesihatan b ke luar negara negara ketiga atas urusan persendirian di bawah pekeliling perkhidmatan bilangan 6 tahun 2015 arahan maklumat hendaklah dilengkapkan dengan jelas dan menggunakan huruf

Borang Borang Lawatan

Getting Info...

Posting Komentar